GRADO:10° MOVIMIENTO UNIFORMEMENTE ACELERADO
En física, el movimiento uniformemente acelerado (MUA) es aquel movimiento en el que la aceleración que experimenta un cuerpo permanece constante (en magnitud y dirección) en el transcurso del tiempo.
- El movimiento rectilíneo uniformemente acelerado, en el que la trayectoria es rectilínea, que se presenta cuando la aceleración y la velocidad inicial tienen la misma dirección.
- El movimiento parabólico, en el que la trayectoria descrita es una parábola, que se presenta cuando la aceleración y la velocidad inicial no tienen la misma dirección.
En el movimiento circular uniforme, la aceleración tan solo es constante en módulo, pero no lo es en dirección, por ser cada instante perpendicular a la velocidad, estando dirigida hacia el centro de la trayectoria circular (aceleración centrípeta).Por ello, no puede considerársela un movimiento uniformemente acelerado, a menos que nos refiramos a su aceleración angular.
- x, x0: La posición del cuerpo en un instante dado (x) y en el instante inicial (x0). Su unidad en el Sistema Internacional (S.I.) es el metro (m)
- v,v0: La velocidad del cuerpo en un instante dado (v) y en el instante inicial (v0). Su unidad en el Sistema Internacional es el metro por segundo (m/s)
- a: La aceleración del cuerpo. Permanece constante y con un valor distinto de 0. Su unidad en el Sistema Internacional es el metro por segundo al cuadrado (m/s2)
- t: El intervalo de tiempo estudiado. Su unidad en el Sistema Internacional es el segundo (s)
En la mayoría de los casos, la Velocidad de un objeto cambia a medida que
el movimiento evoluciona. A éste tipo de Movimiento se le denomina Movimiento
Uniformemente Acelerado.
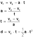
ACELERACIÓN: La Aceleración es el
cambio de velocidad al tiempo transcurrido en un punto A a B. Su abreviatura es: a.
VELOCIDAD
INICIAL (Vo): Es la Velocidad que tiene un cuerpo al
iniciar su movimiento en un período de tiempo.
VELOCIDAD
FINAL (Vf) : Es la Velocidad que tiene un cuerpo al finalizar su movimiento
en un período de tiempo.
La Fórmula de la aceleración está dada por la siguiente fórmula:
De la última formula se pueden despejar todas las variables, para
aplicarlas según sean los casos que puedan presentarse. A partir de ello, se
dice que tenemos las siguientes Fórmulas de Aceleración:
Dependiendo el problema a resolver y las variables a conocer, se
irán deduciendo otras fórmulas para la solución de problemas. Siendo éstas, las principales para cualquier situación que se dé.
GRÁFICAS




VIDEO
MOVIMIENTO UNIFORMEMENTE ACELERADO
1. Un automóvil que viaja a una velocidad constante de 120
km/h, demora 10s en detenerse. Calcular:a) ¿Qué espacio necesitó para
detenerse? b) ¿Con qué velocidad chocaría a otro vehículo ubicado a 30 m
del lugar donde aplicó los frenos?
2. Un camión viene disminuyendo su velocidad en forma uniforme, de 100km/h
a 50 km/h. Si para esto tuvo que frenar durante 1.500 m.
Calcular:a) ¿Qué des-aceleración produjeron los frenos? b) ¿Cuánto tiempo empleó para el frenado?.
3. Un auto marcha a una velocidad de
90 km/h. El conductor aplica los frenos en el instante en que ve el pozo y
reduce la velocidad hasta 1/5 de la inicial en los 4s que tarda en llegar al
pozo. Determinar a qué distancia del obstáculo el conductor aplico los
frenos, suponiendo que la aceleración fue constante.
4.
Un automóvil parte del reposo con una aceleración constante de 3 m/s
²,determinar:a) ¿Qué velocidad tendrá a los 8 s de haber iniciado el
movimiento?. b) ¿Qué distancia habrá recorrido en ese lapso?
5. Un cohete parte del reposo con aceleración constante y logra alcanzar en 30 s una velocidad de 588 m/s. Calcular:
a) Aceleración. b) ¿Qué espacio recorrió en esos 30 s?.
6. Un móvil que se desplaza con velocidad constante aplica los frenos durante 25 s y recorre 400 m hasta detenerse. Calcular:
a) ¿Qué velocidad tenia el móvil antes de aplicar los frenos?.
b) ¿Qué desaceleración produjeron los frenos?.
7. ¿Cuánto tiempo tardará un móvil en alcanzar una velocidad de 60 km/h, si parte del reposo acelerando constantemente con una aceleración de 20 km/h²?
No hay comentarios:
Publicar un comentario